6月25日零时,河南省招生办公布了2019年全省高考分数线,文科分数线为536分,理科分数线为502分。
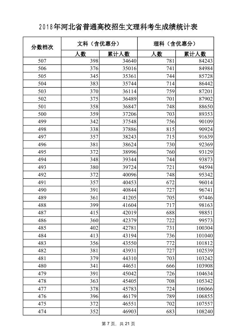
此外,还发布了普通高校录取分数统计表(“一分一阶段表”)。 今年,河南省进入一级院校的人数为129205人河南高考成绩一分一段表公布,其中文科22094人,理科107111人。
《一分一科表》显示,河南省考生成绩在657分以上的有3人,成绩在653分以上的有30人河南高考成绩一分一段表公布,成绩在600分以上的有1980人; 理科成绩697分以上的考生有11人,694分以上的考生有21人,692分以上的考生有30人,687分以上的考生有53人。 600分以上的考生有16,048人。
河南省招生办新闻发言人陈大奇表示,预批本科生体育类和艺术类专业是分开标注的。 军队、公安、司法等院校根据高校要求分别实行一级或二级。 国家专项计划和地方专项计划分开批次,实行本科批次分数线。 专科学生提前审批按照普通高职院校和专科学校的审批标准执行。 从分数线的划定来看,我省第一、二册的分数线与使用国I卷的省份的变化基本一致。

陈大奇表示,根据目前汇总的招生计划以及招生机构在招生过程中积极争取提出灵活方案的努力,预计今年河南省招生人数将保持稳定、上升的趋势。 招生总人数、本科招生人数、重点大学录取人数均将超过去年。
“一分一科表”可以显示每个分数全省有多少考生,考生可以据此计算自己的排名。 当前科室表是将全省同科考生档案成绩(考生总分+政策加分)从高到低排列(分数相同者并列),然后按照各科1点,统计“本栏目”“人数”; 从本段到最高段的所有“本段人数”之和即为“累计人数”。
考生在填写申请表时,应首先参考自己在省内的排名,然后查看所申请学校的招生计划。 最好计算出河南同梯度院校的招生计划总数,并与自己的排名结合起来,以便更好地了解选择志愿者。
此外,陈大奇提醒考生,省招生网站上查到的成绩均为实际成绩,即各科成绩和考试总成绩。 已公布的分数段统计中增加了政策加分,方便考生准确定位并填写申请表。 考生对成绩有疑问的,可于6月27日18:00前持准考证向县(市、区)招生办公室提交成绩复核申请。
大量的美术作品:


科学:


广告及内容合作请点击:寻求合作
咨询服务
